Exercises 1.1

  1. Prove that ch1a1.png .

    One has ch1a2.png . Taking the square root of both sides gives the result.

  2. When does equality hold in Theorem 1-1 (3)?

    Equality holds precisely when one is a nonnegative multiple of the other. This is a consequence of the analogous assertion of the next problem.

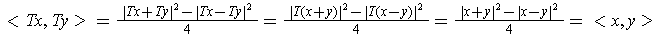
  3. Prove that ch1a3.png . When does equality hold?

    The first assertion is the triangle inequality. I claim that equality holds precisely when one vector is a non-positive multiple of the other.

    If ch1a4.png for some real ch1a5.png , then substituting shows that the inequality
    is equivalent to ch1a6.png and clearly equality holds if a is non-positive. Similarly, one has equality if ch1a7.png for some real ch1a8.png .

    Conversely, if equality holds, then ch1a9.png , and so ch1a10.png . By Theorem 1-1 (2), it follows that ch1a11.png and ch1a12.png are linearly dependent. If ch1a13.png for some real ch1a14.png , then substituting back into the equality shows that ch1a15.png must be non-positive or ch1a16.png must be 0. The case where ch1a17.png is treated similarly.

  4. Prove that ch1a18.png .

    If ch1a19.png , then the inequality to be proved is just ch1a20.png which is just the triangle inequality. On the other hand, if ch1a21.png , then the result follows from the first case by swapping the roles of ch1a22.png and ch1a23.png .

  5. The quantity ch1a24.png is called the distance between ch1a25.png and ch1a26.png . Prove and interpret geometrically the ``triangle inequality": ch1a27.png .

    The inequality follows from Theorem 1-1(3):

    ch1a28.png

    Geometrically, if ch1a29.png , ch1a30.png , and ch1a31.png are the vertices of a triangle, then the inequality says that the length of a side is no larger than the sum of the lengths of the other two sides.

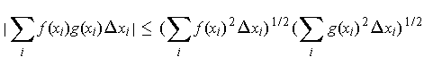
  6. Let ch1a32.png and ch1a33.png be functions integrable on ch1a34.png .
    1. Prove that ch1a35.png .

      Theorem 1-1(2) implies the inequality of Riemann sums:

      ch1a36.png

      Taking the limit as the mesh approaches 0, one gets the desired inequality.

    2. If equality holds, must ch1a37.png for some ch1a38.png ? What if ch1a39.png and ch1a40.png are continuous?

      No, you could, for example, vary ch1a41.png at discrete points without changing the values of the integrals. If ch1a42.png and ch1a43.png are continuous, then the assertion is true.

      In fact, suppose that for each ch1a44.png , there is an ch1a45.png with ch1a46.png . Then the inequality holds true in an open neighborhood of ch1a47.png since ch1a48.png and ch1a49.png are continuous. So ch1a50.png since the integrand is always non-negative and is positive on some subinterval of ch1a51.png . Expanding out gives ch1a52.png for all ch1a53.png . Since the quadratic has no solutions, it must be that its discriminant is negative.

    3. Show that Theorem 1-1 (2) is a special case of (a).

      Let ch1a54.png , ch1a55.png , ch1a56.png and ch1a57.png for all ch1a58.png in ch1a59.png for ch1a60.png . Then part (a) gives the inequality of Theorem 1-1 (2). Note, however, that the equality condition does not follow from (a).

  7. A linear transformation ch1a61.png is called norm preserving if ch1a62.png , and inner product preserving if ch1a63.png .
    1. Show that ch1a64.png is norm preserving if and only if ch1a65.png is inner product preserving.

      If ch1a66.png is inner product preserving, then one has by Theorem 1-1 (4):

      ch1a67.png

      Similarly, if ch1a68.png is norm preserving, then the polarization identity together with the linearity of T give: ch1a69.png .

    2. Show that such a linear transformation ch1a70.png is 1-1, and that ch1a71.png is of the same sort.

      Let ch1a72.png be norm preserving. Then ch1a73.png implies ch1a74.png , i.e. the kernel of ch1a75.png is trivial. So T is 1-1. Since ch1a76.png is a 1-1 linear map of a finite dimensional vector space into itself, it follows that ch1a77.png is also onto. In particular, ch1a78.png has an inverse. Further, given ch1a79.png , there is a ch1a80.png with ch1a81.png , and so ch1a82.png , since ch1a83.png is norm preserving. Thus ch1a84.png is norm preserving, and hence also inner product preserving.

  8. If ch1a85.png and ch1a86.png in ch1a87.png are both non-zero, then the angle between ch1a88.png and ch1a89.png , denoted ch1a90.png , is defined to be ch1a91.png which makes sense by Theorem 1-1 (2). The linear transformation ch1a92.png is angle preserving if ch1a93.png is 1-1 and for ch1a94.png , one has ch1a95.png .
    1. Prove that if ch1a96.png is norm preserving, then ch1a97.png is angle preserving.

      Assume ch1a98.png is norm preserving. By Problem 1-7, ch1a99.png is inner product preserving. So ch1a100.png .

    2. If there is a basis ch1a101.png of ch1a102.png and numbers ch1a103.png such that ch1a104.png , prove that ch1a105.png is angle preserving if and only if all ch1a106.png are equal.

      The assertion is false. For example, if ch1a107.png , ch1a108.png , ch1a109.png , ch1a110.png , and ch1a111.png , then ch1a112.png . Now, ch1a113.png , but ch1a114.png showing that T is not angle preserving.

      To correct the situation, add the condition that the ch1a115.png be pairwise orthogonal, i.e. ch1a116.png for all ch1a117.png . Using bilinearity, this means that: ch1a118.png because all the cross terms are zero.

      Suppose all the ch1a119.png are equal in absolute value. Then one has ch1a120.png because all the ch1a121.png are equal and cancel out. So, this condition suffices to make ch1a122.png be angle preserving.

      Now suppose that ch1a123.png for some ch1a124.png and ch1a125.png and that ch1a126.png . Then

      ch1a127.png

      ch1a128.png

      since ch1a129.png . So, this condition suffices to make ch1a130.png not be angle preserving.

    3. What are all angle preserving ch1a131.png ?

      The angle preserving ch1a132.png are precisely those which can be expressed in the form ch1a133.png where U is angle preserving of the kind in part (b), V is norm preserving, and the operation is functional composition.

      Clearly, any ch1a134.png of this form is angle preserving as the composition of two angle preserving linear transformations is angle preserving. For the converse, suppose that ch1a135.png is angle preserving. Let ch1a136.png be an orthogonal basis of ch1a137.png . Define ch1a138.png to be the linear transformation such that ch1a139.png for each ch1a140.png . Since the ch1a141.png are pairwise orthogonal and ch1a142.png is angle preserving, the ch1a143.png are also pairwise orthogonal. In particular, ch1a144.png because the cross terms all cancel out. This proves that ch1a145.png is norm preserving. Now define ch1a146.png to be the linear transformation ch1a147.png . Then clearly ch1a148.png and ch1a149.png is angle preserving because it is the composition of two angle preserving maps. Further, ch1a150.png maps each ch1a151.png to a scalar multiple of itself; so ch1a152.png is a map of the type in part (b). This completes the characterization.

  9. If ch1a153.png , let ch1a154.png have the matrix ch1a155.png . Show that ch1a156.png is angle preserving and that if ch1a157.png , then ch1a158.png .

    The transformation ch1a159.png is 1-1 by Cramer's Rule because the determinant of its matrix is 1. Further, ch1a160.png is norm preserving since

    ch1a161.png

    by the Pythagorean Theorem. By Problem 8(a), it follows that ch1a162.png is angle preserving.

    If ch1a163.png , then one has ch1a164.png . Further, since ch1a165.png is norm preserving, ch1a166.png . By the definition of angle, it follows that ch1a167.png .

  10. If ch1a168.png is a linear transformation, show that there is a number ch1a169.png such that ch1a170.png for ch1a171.png .

    Let ch1a172.png be the maximum of the absolute values of the entries in the matrix of ch1a173.png and ch1a174.png . One has ch1a175.png . (Correction: Bound should be square root of n times mN.)

  11. For ch1a176.png and ch1a177.png , show that ch1a178.png and ch1a179.png . Note that ch1a180.png and ch1a181.png denote points in ch1a182.png . This is a perfectly straightforward computation in terms of the coordinates of ch1a183.png using only the definitions of inner product and norm.
  12. Let ch1a184.png denote the dual space of the vector space ch1a185.png . If ch1a186.png , define ch1a187.png . Define ch1a188.png by ch1a189.png . Show that ch1a190.png is a 1-1 linear transformation and conclude that every ch1a191.png is ch1a192.png for a unique ch1a193.png .

    One needs to verify the trivial results that (a) ch1a194.png is a linear tranformation and (b) ch1a195.png . These follow from bilinearity; the proofs are omitted. Together these imply that ch1a196.png is a linear transformation.

    Since ch1a197.png for ch1a198.png , ch1a199.png has no non-zero vectors in its kernel and so is 1-1. Since the dual space has dimension n, it follows that ch1a200.png is also onto. This proves the last assertion.

  13. If ch1a201.png , then ch1a202.png and ch1a203.png are called perpendicular (or orthogonal) if ch1a204.png . If ch1a205.png and ch1a206.png are perpendicular, prove that ch1a207.png .

    By bilinearity of the inner product, one has for perpendicular ch1a208.png and ch1a209.png :

    ch1a210.png