Exercises: Chapter 3, Section 4

  1. Let ch3d1.png be a set of content 0. Let ch3d2.png be the set of all ch3d3.png such that ch3d4.png is not of content 0. Show that ch3d5.png is a set of measure 0.

    Following the hint, ch3d6.png is integrable with ch3d7.png by Problem 3-15 and Fubini's Theorem. We have ch3d8.png . Now ch3d9.png is equivalent to the condition that either ch3d10.png or ch3d11.png . Both of these having integral 0 implies by Problem 3-18 that the sets where their integrand is non-zero are of measure 0, and so ch3d12.png is also of measure 0.

  2. Let ch3d13.png be the union of all ch3d14.png where ch3d15.png is a rational number in ch3d16.png written in lowest terms. Use ch3d17.png to show that the word ``measure" in Problem 3-23 cannot be replaced with ``content".

    The set ch3d18.png is the set of rational numbers in ch3d19.png which is of measure 0, but not of content 0, because the integral of its characteristic function does not exist. To see that the set ch3d20.png has content 0, let ch3d21.png . Let ch3d22.png be such that ch3d23.png . Then the set ch3d24.png can be covered by the rectangles ch3d25.png and for each ch3d26.png in lowest terms with ch3d27.png , the rectangle ch3d28.png where ch3d29.png . The sum of the areas of these rectangles is less than ch3d30.png .

  3. Show by induction on ch3d31.png that ch3d32.png is not a set of measure 0 (or content 0) if ch3d33.png for each ch3d34.png .

    This follows from Problem 3-8 and Theorem 3-6, but that is not an induction.

    Fubini's Theorem and induction on ch3d35.png show that ch3d36.png and so ch3d37.png does not have content 0, and hence is not of measure 0.

  4. Let ch3d38.png be integrable and non-negative, and let ch3d39.png . Show that ch3d40.png is Jordan measurable and has area ch3d41.png .

    One has ch3d42.png and so by Fubini,

    ch3d43.png

    where ch3d44.png is an upper bound on the image of ch3d45.png .

  5. If ch3d46.png is continuous, show that

    ch3d47.png

    where the upper bounds need to be determined.

    By Fubini, the left hand iterated integral is just ch3d48.png where

    ch3d49.png

    Applying Fubini again, shows that this integral is equal to ch3d50.png .

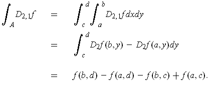
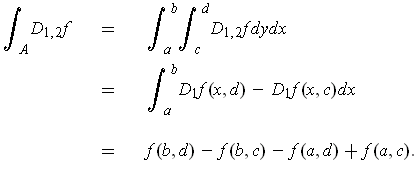
  6. Use Fubini's Theorem to give an easy proof that ch3d51.png if these are continuous.

    Following the hint, if ch3d52.png is not zero for some point ch3d53.png , then we may assume (by replacing ch3d54.png with ch3d55.png if necessary that it is positive at ch3d56.png . But then continuity implies that it is positive on a rectangle ch3d57.png containing ch3d58.png . But then its integral over ch3d59.png is also positive.

    On the other hand, using Fubini on ch3d60.png gives:

    ch3d61.png

    Similarly, one has

    ch3d62.png

    Subtracting gives: ch3d63.png which is a contradiction.

  7. Use Fubini's Theorem to derive an expression for the volume of a set in ch3d64.png obtained by revolving a Jordan measurable set in the ch3d65.png -plane about the ch3d66.png -axis.

    To avoid overlap, it is convenient to keep the set in the positive ch3d67.png half plane. To do this, let ch3d68.png be the original Jordan measurable set in the ch3d69.png -plane, and replace it with ch3d70.png . Theorem 3-9 can be used to show that ch3d71.png is Jordan measurable if ch3d72.png is.

    The problem appears to be premature since we really want to be able to do a change of variables to cylindrical coordinates. Assuming that we know how to do that, the result becomes ch3d73.png .

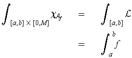
  8. Let ch3d74.png be the set in Problem 1-17. Show that

    ch3d75.png

    but that ch3d76.png does not exist.

    The problem has a typo in it; the author should not have switched the order of the arguments of ch3d77.png as that trivializes the assertion.

    The iterated integrals are zero because the inside integral is the zero function. The last integral cannot exist by Theorem 3-9 and Problem 1-17.

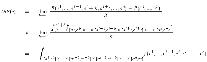
  9. If ch3d78.png and ch3d79.png is continuous, define ch3d80.png by

    ch3d81.png

    What is ch3d82.png , for ch3d83.png in the interior of ch3d84.png ?

    Let ch3d85.png be in the interior of ch3d86.png , fix ch3d87.png . We have

    ch3d88.png

    by Fubini's Theorem.

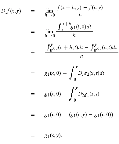
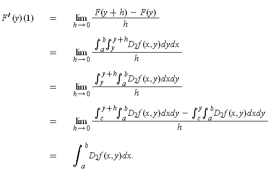
  10. Let ch3d89.png be continuous and suppose ch3d90.png is continuous. Define ch3d91.png . Prove Leibnitz' Rule: ch3d92.png .

    Using the hint, we have ch3d93.png . One has

    ch3d94.png

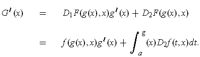
  11. If ch3d95.png is continuous and ch3d96.png is continuous, define ch3d97.png .
    1. Find ch3d98.png and ch3d99.png .

      One has ch3d100.png and ch3d101.png where the second assertion used Problem 3-32.

    2. If ch3d102.png , find ch3d103.png .

      We have ch3d104.png and so by the chain rule one has

      ch3d105.png

  12. Let ch3d106.png be continuously differentiable and suppose ch3d107.png . As in Problem 2-21, let

    ch3d108.png

    Show that ch3d109.png .

    One has

    ch3d110.png

    1. Let ch3d111.png be a linear transformation of one of the following types:

      ch3d112.png

      ch3d113.png

      ch3d114.png

      If ch3d115.png is a rectangle, show that the volume of ch3d116.png is ch3d117.png .

      In the three cases, ch3d118.png is ch3d119.png , 1, and 1 respectively. If the original rectangle ch3d120.png , then ch3d121.png is

      ch3d122.png

      in the first case, is a cylinder with a parallelogram base in the second case, and is the same rectangle except that the intervals in the ch3d123.png and ch3d124.png places are swapped in the third case. In the second case, the parallelogram base is in the ch3d125.png and ch3d126.png directions and has corners ch3d127.png . So the volumes do not change in the second and third case and get multiplied by ch3d128.png in the first case. This shows the result.

    2. Prove that ch3d129.png is the volume of ch3d130.png for any linear transformation ch3d131.png .

      If ch3d132.png is non-singular, then it is a composition of linear transformations of the types in part (a) of the problem. Since ch3d133.png is multiplicative, the result follows in this case.

      If ch3d134.png is singular, then ch3d135.png is a proper subspace of ch3d136.png and ch3d137.png is a compact set in this proper subspace. In particular, ch3d138.png is contained in a hyperplane. By choosing the coordinate properly, the hyperplane is the image of a linear transformation from ch3d139.png into ch3d140.png made up of a composition of maps of the first two types. This shows that the compact portion of the hyperplane is of volume 0. Since the determinant is also 0, this shows the result in this case too.

  13. (Cavalieri's principle). Let ch3d141.png and ch3d142.png be Jordan measurable subsets of ch3d143.png . Let ch3d144.png and define ch3d145.png similarly. Suppose that each ch3d146.png and ch3d147.png are Jordan measurable and have the same area. Show that ch3d148.png and ch3d149.png have the same volume.

    This is an immediate consequence of Fubini's Theorem since the inside integrals are equal.