Exercises: Chapter 4, Section 4

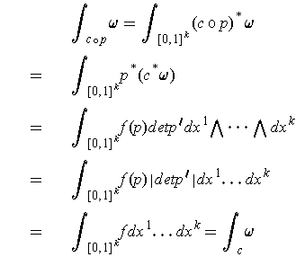
  1. Independence of parametrization). Let ch4d1.png be a singular ch4d2.png -cube and ch4d3.png a 1-1 function such that ch4d4.png and ch4d5.png for ch4d6.png . If ch4d7.png is a ch4d8.png -form, show that

    ch4d9.png

    Suppose ch4d10.png . Using the definition of the integral, Theorem 4-9, the chain rule, and Theorem 3-13 augmented by Problem 3-39:

    ch4d11.png

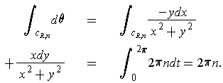
  2. Show that ch4d12.png , and use Stokes Theorem to conclude that ch4d13.png for any 2-chain ch4d14.png in ch4d15.png (recall the definition of ch4d16.png in Problem 4-23).

    One has

    ch4d17.png

    If ch4d18.png , then Stokes Theorem gives

    ch4d19.png

    because ch4d20.png is closed. So ch4d21.png .

    Note however that no curve is the boundary of any two chain -- as the sum of the coefficients of a boundary is always 0.

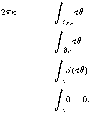
  3. Show that the integer ch4d22.png of Problem 4-24 is unique. This integer is called the winding number of ch4d23.png around 0.

    If ch4d24.png and ch4d25.png where ch4d26.png and ch4d27.png and ch4d28.png are 2-chains, the letting ch4d29.png , one has ch4d30.png . Using Stokes Theorem, one gets ch4d31.png , which is a contradiction.

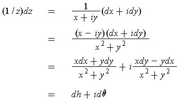
  4. Recall that the set of complex numbers ch4d32.png is simply ch4d33.png with ch4d34.png . If ch4d35.png let ch4d36.png be ch4d37.png . Define thee singular 1-cube ch4d38.png by ch4d39.png , and the singular 2-cube ch4d40.png by ch4d41.png .
    1. Show that ch4d42.png , and that ch4d43.png if ch4d44.png is large enough.

      The problem statement is flawed: the author wants ch4d45.png to be defined to be ch4d46.png . This would make the boundary ch4d47.png . We assume these changes have been made.

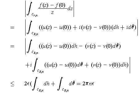
      When ch4d48.png or ch4d49.png , ch4d50.png is the curve ch4d51.png . When ch4d52.png , it is the curve ch4d53.png , and when ch4d54.png , it is the curve ch4d55.png . So ch4d56.png . Let ch4d57.png . Then, if ch4d58.png , we have ch4d59.png for all ch4d60.png and all ch4d61.png with ch4d62.png . Since ch4d63.png where ch4d64.png , we see that ch4d65.png cannot be zero since it is the sum of a number of length ch4d66.png and one which is smaller in absolute value.

    2. Using Problem 4-26, prove the Fundamental Theorem of Algebra: Every polynomial ch4d67.png with ch4d68.png has a root in ch4d69.png .

      Suppose that ch4d70.png as above has no complex root. Letting ch4d71.png be sufficiently large, we see by part (a) and Stokes' Theorem that ch4d72.png , and so ch4d73.png .

      Now consider the 2-chain ch4d74.png defined by ch4d75.png . Now, when ch4d76.png , we get the constant curve with value ch4d77.png ; when ch4d78.png , we get the curve ch4d79.png ; and when ch4d80.png or ch4d81.png , we get the curve ch4d82.png . So the boundary of ch4d83.png is ch4d84.png . Further, we have assumed that ch4d85.png has no complex root, and so ch4d86.png is a 2-chain with values in ch4d87.png . Again, applying Stokes' Theorem, we get ch4d88.png , and so ch4d89.png . This contradicts the result of the last paragraph.

  5. If ch4d90.png is a 1-form ch4d91.png on ch4d92.png with ch4d93.png , show that theere is a unique number ch4d94.png such that ch4d95.png for some function ch4d96.png with ch4d97.png .

    Following the hint, ch4d98.png implies ch4d99.png and so ch4d100.png is unique. On the other hand, if we let ch4d101.png be this value and ch4d102.png , then ch4d103.png and ch4d104.png .

  6. If ch4d105.png is a 1-form on ch4d106.png such that ch4d107.png , prove that

    ch4d108.png

    for some ch4d109.png and ch4d110.png . The differential ch4d111.png is of the type considered in the last problem. So there is a unique ch4d112.png for which there is a ch4d113.png such that ch4d114.png .

    For positive ch4d115.png and ch4d116.png , define the singular 2-cube ch4d117.png by ch4d118.png . By Stokes' Theorem, we have ch4d119.png . So ch4d120.png . By the proof of the last problem, it follows that ch4d121.png . Henceforth, let ch4d122.png denote this common value. Note that ch4d123.png ; and in particular, ch4d124.png .

    Let ch4d125.png be a singular 1-cube with ch4d126.png . By Problem 4-24, there is a 2-chain ch4d127.png and an ch4d128.png such that ch4d129.png . By Stokes' Theorem, ch4d130.png . So ch4d131.png .

    From the result of the last paragraph, integrating ch4d132.png is independent of path. In fact, if you have two singular 1-cubes ch4d133.png and ch4d134.png with ch4d135.png and ch4d136.png , then prepend a curve from (1,0) to ch4d137.png and postpend a path from ch4d138.png to (1,0) to get two paths as in the last paragraph. The two integrals are both 0, and so the integrals over ch4d139.png and ch4d140.png are equal.

    Now the result follows from Problem 4-32 below.

  7. If ch4d141.png , show that there is a chain ch4d142.png such that ch4d143.png . Use this fact, Stokes' theorem and ch4d144.png to prove ch4d145.png

    One has ch4d146.png . Suppose ch4d147.png for some ch4d148.png and some choice of ch4d149.png . Then ch4d150.png in a closed rectangle of positive volume centered at ch4d151.png . Take for ch4d152.png the k-cube defined in an obvious way so that its image is the part of the closed rectangle with ch4d153.png for all ch4d154.png different from the ch4d155.png for ch4d156.png . Then ch4d157.png since the integrand is continuous and of the same sign throughout the region of integration.

    Suppose ch4d158.png . Let ch4d159.png be a chain such that ch4d160.png . By Stokes' Theorem, we would have: ch4d161.png because ch4d162.png . This is a contradiction.

    1. Let ch4d163.png be singular 1-cubes in ch4d164.png with ch4d165.png and ch4d166.png . Show that there is a singular 2-cube ch4d167.png such that ch4d168.png , where ch4d169.png and ch4d170.png are degenerate, that is, ch4d171.png and ch4d172.png are points. Conclude that ch4d173.png if ch4d174.png is exact. Give a counter-example on ch4d175.png if ch4d176.png is merely closed.

      Let ch4d177.png be defined by ch4d178.png . Then ch4d179.png where ch4d180.png is the curve with constant value ch4d181.png and similarly for ch4d182.png .

      Suppose ch4d183.png is exact, and hence closed. Then by Stokes' Theorem, we have ch4d184.png (since ch4d185.png is closed), and so ch4d186.png .

      The example: ch4d187.png , ch4d188.png , and ch4d189.png shows that there is no independence of path in ch4d190.png for closed forms.

    2. If ch4d191.png is a 1-form on a subset of ch4d192.png and ch4d193.png for all ch4d194.png and ch4d195.png with ch4d196.png and ch4d197.png , show that ch4d198.png is exact.

      Although it is not stated, we assume that the subset is open. Further, by treating each component separately, we assume that the subset is pathwise connected.

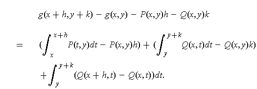
      Fix a point ch4d199.png in the subset. For every ch4d200.png in the set, let ch4d201.png be any curve from ch4d202.png to ch4d203.png , and set ch4d204.png . Because of independence of path, ch4d205.png is well defined. Now, if ch4d206.png , then because ch4d207.png is in the interior of the subset, we can assume that ch4d208.png is calculated with a path that ends in a segment with ch4d209.png constant. Clearly, then ch4d210.png . Similarly, ch4d211.png . Note that because ch4d212.png and ch4d213.png are continuously differentible, it follows that ch4d214.png is closed since ch4d215.png .

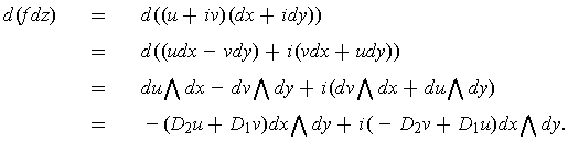
      We want to check differentiability of ch4d216.png . One has

      ch4d217.png

      The first pair of terms is ch4d218.png because ch4d219.png ; similarly the second pair of terms is ch4d220.png . Finally, continuity of ch4d221.png implies that the integrand is ch4d222.png , and so the last integral is also ch4d223.png . So ch4d224.png is differentiable at ch4d225.png . This establishes the assertion.

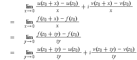
  8. (A first course in complex variables.) If ch4d226.png , define ch4d227.png to be differentiable at ch4d228.png if the limit

    ch4d229.png

    exists. (This quotient involves two complex numbers and this definition is completely different from the one in Chapter 2.) If ch4d230.png is differeentiable at every point ch4d231.png in an open set ch4d232.png and ch4d233.png is continuous on ch4d234.png , then ch4d235.png is called analytic on ch4d236.png .

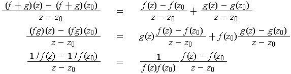
    1. Show that ch4d237.png is analytic and ch4d238.png is not (where ch4d239.png ). Show that the sum, product, and quotient of analytic functions are analytic.

      ch4d240.png and so ch4d241.png . On the other hand, ch4d242.png does not have a limit as ch4d243.png because ch4d244.png , but ch4d245.png .

      It is straightforward to check that the complex addition, subtraction, multiplication, and division operations are continuous (except when the quotient is zero). The assertion that being analytic is preserved under these operations as well as the formulas for the derivatives are then obvious, if you use the identities:

      ch4d246.png

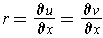
    2. If ch4d247.png is analytic on ch4d248.png , show that ch4d249.png and ch4d250.png satisfy the Cauchy-Riemann} equations:

      ch4d251.png

      (The converse is also true, if ch4d252.png and ch4d253.png are continuously differentiable; this is more difficult to prove.)

      Following the hint, we must have:

      ch4d254.png

      Comparing the real and imaginary parts gives the Cauchy-Riemann equations.

    3. Let ch4d255.png be a linear transformation (where ch4d256.png is considered as a vector space over ch4d257.png ). If the matrix of ch4d258.png with respect to the basis ch4d259.png is ch4d260.png , show that ch4d261.png is multiplication by a complex number if and only if ch4d262.png and ch4d263.png . Part (b) shows that an analytic function ch4d264.png , considered as a function ch4d265.png , has a derivative ch4d266.png which is multiplication by a complex number. What complex number is this?

      Comparing ch4d267.png and ch4d268.png gives ch4d269.png , ch4d270.png , ch4d271.png , and ch4d272.png . So, ch4d273.png and ch4d274.png exist if and only if ch4d275.png and ch4d276.png .

      From the last paragraph, the complex number is ch4d277.png where ch4d278.png and ch4d279.png .

    4. Define

      ch4d280.png

      and

      ch4d281.png

      Show that ch4d282.png if and only if ch4d283.png satisfies the Cauchy-Riemann equations.

      One has for ch4d284.png that

      ch4d285.png

      Clearly this is zero if and only if the Cauchy-Riemann equations hold true for ch4d286.png .

    5. Prove the Cauchy Integral Theorem: If ch4d287.png is analytic in ch4d288.png , then ch4d289.png for every closed curve ch4d290.png (singular 1-cube with ch4d291.png ) such that ch4d292.png for some 2-chain ch4d293.png in ch4d294.png .

      By parts (b) and (d), the 1-form ch4d295.png is closed. By Stokes' Theorem, it follows that ch4d296.png .

    6. Show that if ch4d297.png , then ch4d298.png (or ch4d299.png in classical notation) equals ch4d300.png for some function ch4d301.png . Conclude that ch4d302.png .

      One has

      ch4d303.png

      if ch4d304.png is defined by ch4d305.png .

      This then gives ch4d306.png .

    7. If ch4d307.png is analytic on ch4d308.png , use the fact that ch4d309.png is analytic in ch4d310.png to show that

      ch4d311.png

      if ch4d312.png for ch4d313.png . Use (f) to evaluate ch4d314.png and conclude:

      Cauchy Integral Formula: If ch4d315.png is analytic on ch4d316.png and ch4d317.png is a closed curve in ch4d318.png with winding number ch4d319.png around 0, then

      ch4d320.png

      The first assertion follows from part (e) applied to the singular 2-cube ch4d321.png defined by ch4d322.png .

      By a trivial modification of Problem 4-24 (to use ch4d323.png ) and Stokes' Theorem, ch4d324.png for ch4d325.png with ch4d326.png .

      Further,

      ch4d327.png

      if ch4d328.png is chosen so that ch4d329.png for all ch4d330.png with ch4d331.png . It follows that ch4d332.png . Using part (f), we conclude that ch4d333.png . The Cauchy integral formula follows from this and the result of the last paragraph.

  9. If ch4d334.png and ch4d335.png , define ch4d336.png by ch4d337.png If each ch4d338.png is a closed curve, ch4d339.png is called a homotopy between the closed curve ch4d340.png and the closed curve ch4d341.png . Suppose ch4d342.png and ch4d343.png are homotopies of closed curves; if for each ch4d344.png the closed curves ch4d345.png and ch4d346.png do not intersect, the pair ch4d347.png is called a homotopy between the non-intersecting closed curves ch4d348.png and ch4d349.png . It is intuitively obvious that there is no such homotopy with ch4d350.png the pair of curves shown in Figure 4-6 (a), and ch4d351.png the pair of (b) or (c). The present problem, and Problem 5-33 prove this for (b) but the proof for (c) requires different techniques.
    1. If ch4d352.png are nonintersecting closed curves, define ch4d353.png by

      ch4d354.png

      If ch4d355.png is a homotopy of nonintersecting closed curves define ch4d356.png by

      ch4d357.png

      Show that

      ch4d358.png

      When ch4d359.png , one gets the same singular 2-cube ch4d360.png ; similarly, when ch4d361.png , one gets the same singular 2-cube ch4d362.png . When ch4d363.png (respectively ch4d364.png ), one gets the singular 2-cube ch4d365.png (respectively ch4d366.png ). So ch4d367.png which agrees with the assertion only up to a sign.

    2. If ch4d368.png is a closed 2-form on ch4d369.png , show that

      ch4d370.png

      By Stokes' Theorem and part (a), one has ch4d371.png .