 is differentiable
at
 is differentiable
at 
 , then it is continuous at
, then it is continuous at 
 .
.
If 
 is differentiable at
 is differentiable at 
 , then
, then 
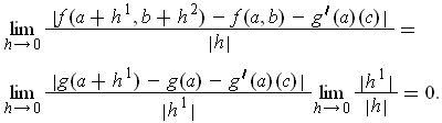
 .  So, we need only show that
.  So, we need only show that 
 ,
but this follows immediately from Problem 1-10.
,
but this follows immediately from Problem 1-10.
 is said to be 
independent of the second variable if for each
 is said to be 
independent of the second variable if for each 
 we have
 we have 
 for all
 for all 
 .  Show that
.  Show that 
 is independent
of the second variable if and only if there is a function
 is independent
of the second variable if and only if there is a function
 such that
 such that 
 . 
What is
. 
What is 
 in terms of
 in terms of 
 ?
?
The first assertion is trivial:  If 
 is independent of the second variable,
you can let
 is independent of the second variable,
you can let 
 be defined by
 be defined by 
 .  Conversely, if
.  Conversely, if 
 , then
, then 
 .
.
If 
 is independent of the second variable, then
 is independent of the second variable, then 
 because:
because: 
 
Note: Actually, 
 is the Jacobian, i.e. a 1 x 2 matrix.  So,
it would be more proper to say that
 is the Jacobian, i.e. a 1 x 2 matrix.  So,
it would be more proper to say that 
 , but I will often
confound
, but I will often
confound 
 with
 with 
 , even though one is a linear transformation
and the other is a matrix.
, even though one is a linear transformation
and the other is a matrix.
 is independent 
of the first variable and find
 is independent 
of the first variable and find 
 for such
 for such 
 .  Which functions are
independent of the first variable and also of the second variable?
.  Which functions are
independent of the first variable and also of the second variable?
The function 
 is independent of the first variable if and only if
 is independent of the first variable if and only if
 for all
 for all 
 .  Just as before,
this is equivalent to their being a function
.  Just as before,
this is equivalent to their being a function 
 such that
such that 
 for all
 for all 
 .  An argument similar
to that of the previous problem shows that
.  An argument similar
to that of the previous problem shows that 
 .
.
 be a continuous real-valued function on the unit circle
 be a continuous real-valued function on the unit circle
 such that
 such that 
 and
 and
 .  define
.  define 
 by
 by
 
 and
 and 
 is defined
by
 is defined
by 
 , show that
, show that 
 is differentiable.
 is differentiable.
One has 
 when
 when 
 and
 and 
 otherwise.  In
both cases,
 otherwise.  In
both cases, 
 is linear and hence differentiable.
 is linear and hence differentiable.
 is not differentiable at (0, 0) unless
 is not differentiable at (0, 0) unless 
 .
.
Suppose 
 is differentiable at
 is differentiable at 
 with, say,
 with, say, 
 .
Then one must have:
.
Then one must have: 
 .
But
.
But 
 and so
 and so 
 .  Similarly, one gets
.  Similarly, one gets 
 .
More generally, using the definition of derivative, we get for fixed
.
More generally, using the definition of derivative, we get for fixed 
 :
:
 .  But
.  But 
 , and so we see that this just says that
, and so we see that this just says that 
 for all
 for all 
 .  Thus
.  Thus 
 is identically zero.
 is identically zero.
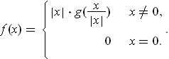
 be defined by
 be defined by
 
Show that 
 is a function of the kind considered in Problem 2-4, so that
 is a function of the kind considered in Problem 2-4, so that
 is not differentiable at
 is not differentiable at 
 .
.
Define 
 by
 by 
 for all
for all 
 .  Then it is trivial to show that
.  Then it is trivial to show that 
 satisfies all the
properties of Problem 2-4 and that the function
 satisfies all the
properties of Problem 2-4 and that the function 
 obtained from this
 obtained from this 
 is as in the statement of this problem.
is as in the statement of this problem.
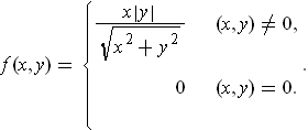
 be defined by
 be defined by 
 .  Show that
.  Show that 
 is not differentiable at 0.
 is not differentiable at 0.
Just as in the proof of Problem 2-4, one can show that, if 
 were
differentiable at 0, then
 were
differentiable at 0, then 
 would be the zero map.  On the other hand,
by approaching zero along the 45 degree line in the first quadrant, one
would then have:
 would be the zero map.  On the other hand,
by approaching zero along the 45 degree line in the first quadrant, one
would then have: 
 in spite
of the fact that the limit is clearly 1.
 in spite
of the fact that the limit is clearly 1.
 be a function such that
 be a function such that
 .  Show that
.  Show that 
 is differentiable at 0.
 is differentiable at 0.
In fact, 
 by the squeeze principle using
 by the squeeze principle using
 .
.
 .  Prove that
.  Prove that 
 is
differentiable at
 is
differentiable at 
 if and only if
 if and only if 
 and
 and 
 are, and in 
this case
 are, and in 
this case
 
Suppose that 
 .  Then one
has the inequality:
.  Then one
has the inequality: 
 .  So, by the squeeze principle,
.  So, by the squeeze principle,
 must be differentiable at
 must be differentiable at 
 with
 with 
 .
.
On the other hand, if the 
 are differentiable at
 are differentiable at 
 , then use the
inequality derived from Problem 1-1:
, then use the
inequality derived from Problem 1-1: 
 and the squeeze principle to conclude that
 and the squeeze principle to conclude that 
 is differentiable at
 is differentiable at
 with the desired derivative.
 with the desired derivative.
 are  equal up
to
 are  equal up
to 
 order at
 order at 
 if
 if
 
 is differentiable at
 is differentiable at 
 if and only if there is
a function
 if and only if there is
a function 
 of the form
 of the form 
 such that
 such that 
 and
 and 
 are equal up to first order at
are equal up to first order at 
 .
.
If 
 is differentiable at
 is differentiable at 
 , then the function
, then the function 
 works by the definition of derivative.
works by the definition of derivative.  
The converse is not true.  Indeed, you can change the value of 
 at
 at 
 without changing whether or not
without changing whether or not 
 and
 and 
 are equal up to first order.  But
clearly changing the value of
 are equal up to first order.  But
clearly changing the value of 
 at
 at 
 changes whether or not
 changes whether or not 
 is
differentiable at
 is
differentiable at 
 .
.
To make the converse true, add the assumption that 
 be continuous at
 be continuous at 
 :
If there is a
:
If there is a 
 of the
specified form with
 of the
specified form with 
 and
 and 
 equal up to first order, then
 equal up to first order, then
 . Multiplying
this by
. Multiplying
this by 
 , we see that
, we see that 
 . Since
. Since
 is continuous, this means that
 is continuous, this means that 
 .  But then the condition
is equivalent to the assertion that
.  But then the condition
is equivalent to the assertion that 
 is differentiable at
 is differentiable at 
 with
 with
 .
.
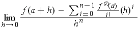
 exist, show that
 exist, show that 
 and the function
 and the function
 defined by
 defined by
 
are equal up to 
 order at a.
 order at a.
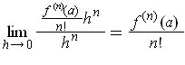
Apply L'Hôpital's Rule n - 1 times to the limit
 
to see that the value of the limit is 
 .  On the other hand, one has:
.  On the other hand, one has:
 
Subtracting these two results gives shows that 
 and
 and 
 are equal up to
 are equal up to 
 order at
order at 
 .
.