Exercises: Chapter 2, Section 3

  1. Find the partial derivatives of the following functions:

    1. ch2c1.png

      ch2c2.png .

    2. ch2c3.png

      ch2c4.png .

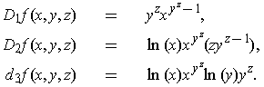
    3. ch2c5.png

      ch2c6.png .

    4. ch2c7.png

      ch2c8.png

    5. ch2c9.png

      ch2c10.png

    6. ch2c11.png

      ch2c12.png .

    7. ch2c13.png

      ch2c14.png .

    8. ch2c15.png

      ch2c16.png .

    9. ch2c17.png

      ch2c18.png

  2. Find the partial derivatives of the following functions (where ch2c19.png is continuous):
    1. ch2c20.png

      ch2c21.png .

    2. ch2c22.png

      ch2c23.png .

    3. ch2c24.png

      ch2c25.png .

    4. ch2c26.png

      ch2c27.png .

  3. If

    ch2c28.png

    find ch2c29.png .

    Since ch2c30.png , one has ch2c31.png .

  4. Find the partial derivatives of ch2c32.png in terms of the derivatives of ch2c33.png and ch2c34.png if
    1. ch2c35.png

      ch2c36.png .

    2. ch2c37.png

      ch2c38.png

    3. ch2c39.png

      ch2c40.png .

    4. ch2c41.png

      ch2c42.png .

    5. ch2c43.png

      ch2c44.png .

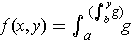
  5. Let ch2c45.png be continuous. Define ch2c46.png by

    ch2c47.png

    1. Show that ch2c48.png

      True since the first term depends only on ch2c49.png .

    2. How should ch2c50.png be defined so that ch2c51.png ?

      One could let ch2c52.png .

    3. Find a function ch2c53.png such that ch2c54.png and ch2c55.png .

      One could let ch2c56.png .

      Find one such that ch2c57.png and ch2c58.png .

      One could let ch2c59.png .

  6. If ch2c60.png and ch2c61.png , show that ch2c62.png is independent of the second variable. If ch2c63.png , show that ch2c64.png .

    By the mean value theorem, one knows that if a function of one variable has zero derivative on a closed interval ch2c65.png , then it is constant on that interval. Both assertions are immediate consequences of this result.

  7. Let ch2c66.png .
    1. If ch2c67.png and ch2c68.png , show that ch2c69.png is a constant.

      Suppose ch2c70.png and ch2c71.png are arbitrary points of ch2c72.png . Then the line segment from ch2c73.png to ch2c74.png , from ch2c75.png to ch2c76.png , and from ch2c77.png to ch2c78.png are all contained in ch2c79.png . By the proof of Problem 2-22, it follows that ch2c80.png , ch2c81.png , and ch2c82.png . So ch2c83.png .

    2. Find a function ch2c84.png such that ch2c85.png but ch2c86.png is not independent of the second variable.

      One could let ch2c87.png .

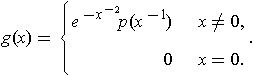
  8. Define ch2c88.png by

    ch2c89.png

    1. Show that ch2c90.png for all ch2c91.png and ch2c92.png for all ch2c93.png .

      One has ch2c94.png when ch2c95.png , and ch2c96.png since ch2c97.png . Further, one has ch2c98.png and so ch2c99.png for all ch2c100.png and ch2c101.png (because ch2c102.png ). The assertions follow immediately by substituting ch2c103.png into one formula and ch2c104.png in the other.

    2. Show that ch2c105.png .

      Using part (a), one has ch2c106.png and ch2c107.png .

  9. Define ch2c108.png by

    ch2c109.png

    1. Show that ch2c110.png is a ch2c111.png function, and ch2c112.png for all ch2c113.png .

      Consider the function ch2c114.png defined by

      ch2c115.png

      where ch2c116.png is a polynomial. Then, one has ch2c117.png for ch2c118.png . By induction on ch2c119.png , define ch2c120.png and ch2c121.png . Then it follows that ch2c122.png for all ch2c123.png . In particular, function ch2c124.png is ch2c125.png for all ch2c126.png .

      Now, suppose by induction on ch2c127.png , that ch2c128.png . We have ch2c129.png . To show that this limit is zero, it suffices to show that ch2c130.png for each integer ch2c131.png . But this is an easy induction using L'Hôpital's rule: ch2c132.png .

    2. Let ch2c133.png
    3. Show that ch2c134.png is a ch2c135.png function which is positive on (-1, 1) and 0 elsewhere.

      For points other than 1 and -1, the result is obvious. At each of the exceptional points, consider the derivative from the left and from the right, using Problem 2-25 on the side closest to the origin.

    4. Show that there is a ch2c136.png function ch2c137.png such that ch2c138.png for ch2c139.png and ch2c140.png for ch2c141.png .

      Following the hint, let ch2c142.png be as in Problem 2-25 and ch2c143.png Now use Problem 2-25 to prove that ch2c144.png works.

    5. If ch2c145.png , define ch2c146.png by

      ch2c147.png

      Show that ch2c148.png is a ch2c149.png function which is positive on

      ch2c150.png

      and zero elsewhere.

      This follows from part (a).

    6. If ch2c151.png is open and ch2c152.png is compact, show that there is a non-negative ch2c153.png function ch2c154.png such that ch2c155.png for ch2c156.png and ch2c157.png outside of some closed set contained in ch2c158.png .

      Let ch2c159.png be the distance between ch2c160.png and the complement of ch2c161.png , and choose ch2c162.png For each ch2c163.png , let ch2c164.png be the open rectangle centered at ch2c165.png with sides of length ch2c166.png . Let ch2c167.png be the function defined for this rectangle as in part (c). Since the set of these rectangles is an open cover of the compact set ch2c168.png , a finite number of them also cover ch2c169.png ; say the rectangles corresponding to ch2c170.png form a subcover. Finally, let ch2c171.png .

      Since we have a subcover of ch2c172.png , we have ch2c173.png positive on ch2c174.png . The choice of ch2c175.png guarantees that the union of the closures of the rectangles in the subcover is contained in ch2c176.png and ch2c177.png is clearly zero outside of this union. This proves the assertion.

    7. Show that we can choose such an ch2c178.png so that ch2c179.png and ch2c180.png for ch2c181.png .

      Let ch2c182.png be as in part (d). We know that ch2c183.png for all ch2c184.png . Since ch2c185.png is compact, one knows that ch2c186.png is attains its minimum ch2c187.png (Problem 1-29). As suggested in the hint, replace ch2c188.png with ch2c189.png where ch2c190.png is the function of part (b). It is easy to verify that this new ch2c191.png satisfies the required conditions.

  10. Define ch2c192.png by

    ch2c193.png

    ch2c194.png

    Show that the maximum of ch2c195.png on ch2c196.png is either the maximum of ch2c197.png or the maximum of ch2c198.png on ch2c199.png .

    This is obvious because ch2c200.png .