Lecture 4: The Inverse and the Implicit Function Theorems

Lemma 1: Let inverse1.png be defined and differentiable on a convex open set A. Then for all inverse2.png , one has

inverse3.png

where inverse4.png is chosen to be an upper bound on all the inverse5.png for all inverse6.png , inverse7.png , and all inverse8.png .

Proof: Let inverse9.png . For each inverse10.png , the Mean Value Theorem says that there is a inverse11.png between 0 and 1 such that

inverse12.png

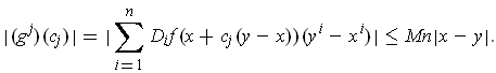
By the chain rule,

inverse13.png

So,

inverse14.png

Theorem 1: (Inverse Function Theorem) Let inverse15.png be continuously differentiable on an open subset containing inverse16.png . If inverse17.png , then there are open subsets inverse18.png containing inverse19.png and inverse20.png containing inverse21.png such that inverse22.png and there is an inverse inverse23.png which is differentiable with derivative satisfying:

inverse24.png

Exercise 1: Show that Theorem 1 is true for linear functions.

Proof: (of Theorem 1) By replacing inverse25.png with inverse26.png , we can assume that inverse27.png is the identity map (Why?).

Apply Lemma 1 to inverse28.png : inverse29.png for inverse30.png and inverse31.png in some open rectangle containing inverse32.png . But then,

inverse33.png

Rearranging gives

inverse34.png

Since inverse35.png , inverse36.png and so by choosing the rectangle small enough, we can assume that inverse37.png and so

inverse38.png

In particular, it follows that f is one-to-one when restricted to this rectangle, and the inverse will be continuous if it exists. Replacing the rectangle with a smaller one, we can assume the same is true when f is restricted to the closure of the rectangle. Now the boundary inverse39.png of the rectangle is compact and so inverse40.png is also compact and does not contain inverse41.png . Let inverse42.png be the minimum of inverse43.png for inverse44.png . Let inverse45.png be the set inverse46.png .

Now, for every inverse47.png , there is at least one inverse48.png in the rectangle with inverse49.png . In fact, consider the function inverse50.png . The image of inverse51.png under the closure of the rectangle. The minimum of this function does not occur on inverse52.png because inverse53.png . So it must occur where the derivative is zero, i.e. one has:

inverse54.png

for inverse55.png . But by taking the rectangle sufficiently small, we can assume that inverse56.png for all inverse57.png in the rectangle. But then the only solution of this system of linear equations is inverse58.png .

If inverse59.png , then inverse60.png maps the open set inverse61.png one-to-one and onto the open set inverse62.png . It remains to check differentiability of the inverse. Since inverse63.png is differentiable, one has for inverse64.png ,

inverse65.png

where inverse66.png . Letting inverse67.png and inverse68.png , we get after substitution:

inverse69.png

Rearranging gives:

inverse70.png

It remains to show that

inverse71.png

Since the derivative is just a linear function, it is enough to show that inverse72.png . As inverse73.png , we have inverse74.png because inverse75.png is continuous. So, inverse76.png . But we know that inverse77.png So, the limit of the product is zero, as desired.

Note: It follows from the formula for the derivative of the inverse that the inverse is also continuously differentiable.

Corollary 1: (The Implicit Function Theorem) Let inverse78.png be continuously differentiable in an open set containing the point inverse79.png which satisfies inverse80.png . Suppose that inverse81.png . Then there is a continuously differentiable function inverse82.png mapping an open set inverse83.png containing inverse84.png to an open set inverse85.png containing inverse86.png such that inverse87.png for all inverse88.png .

Proof: We can extend inverse89.png to a function inverse90.png by inverse91.png and apply the Inverse Function Theorem to get an inverse inverse92.png defined in an open subset containing inverse93.png and mapping onto an open subset containing inverse94.png . Let inverse95.png where inverse96.png is the projection onto the last inverse97.png coordinates of inverse98.png . Then one has inverse99.png .

Exercise 2: Show that the Inverse Function Theorem is a Corollary of the Implicit Function Theorem.